Боловсролын зээлийн сангийн зээлээр гадаадад суралцах 50 оюутан
Дэлхийн шилдэг сургуулийн бакалаврын түвшинд суралцуулах сонгон шалгаруулалт болж өнгөрлөө.
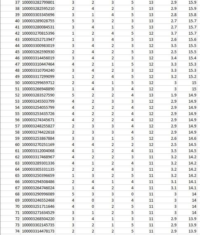
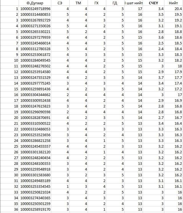
Суралцагчдыг
- Сургуулийн эрэмбэ
- Тэргүүлэх мэргэжил
- Хэлний оноо
- Голч дүн
- Суралцах чадварын ерөнхий үнэлгээ гэсэн 5 шалгуур үзүүлэлтээр эрэмбэлж байгаа юм.
Сүүлийн буюу суралцах чадварын ерөнхий үнэлгээг өнөөдөр зохион байгуулж 98 шалгуулагч оролцов. Энэ шалгуураар
1. Танин мэдэхүй
2. Хувь хүний өсөлт, хөгжил
3. Хүн хоорондын харилцааны ур чадваруудыг үнэлэв.
Шалгалтын материалыг шууд засалтын системээр засаж автоматаар эрэмбэлсэн юм. 5 шалгуурын нийлбэрээр 98 суралцагчийг эрэмбэлсэн байдлыг танилцуулж байна.
Шалгаруулалттай холбоотой гомдол санал гаргах бол даваа гарагийн 18.00 цагаас өмнө бичгээр ирүүлнэ үү.



СЭТГЭГДЭЛ БИЧИХ